Grupos de trabalho DIN 15400
Método para determinação do grupo de trabalho de um equipamento de elevação de cargas.
Determinação do Grupo de Trabalho conforme norma ISO 4301-1
Apresentamos a seguir uma simplificação do método da determinação do grupo de trabalho de equipamentos de elevação.
1) Conforme o Tempo médio de elevação por dia (Tm) pode-se verificar o tempo de utilização durante o dia em relação ao Regime de Trabalho adotado.

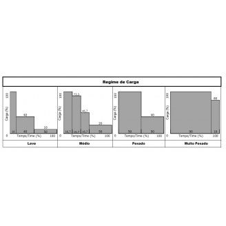
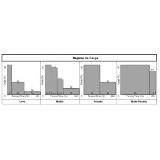
2) Determinação do Regime de Trabalho, ou percentual do tempo em que o equipamento é utilizado em relação ao percentual da capacidade nominal do equipamento.

3) Cálculo do "Tempo médio de serviço diário (Tm)"
